郭耘团队ACS Catalysis: 立方体CeO2负载的Pt纳米颗粒在丙烷催化燃烧中的尺寸效应

图片

共同第一作者:葛沙沙,樊文璞

共同通讯作者:郭耘,唐璇

通讯单位:华东理工大学

论文DOI:10.1021/acscatal.3c06139


图片

全文速览

图片

深入了解负载型贵金属催化剂丙烷催化燃烧的尺寸-活性关系对于开发高活性VOCs净化催化剂具有重要意义。本研究以主要暴露(100)晶面的CeO2纳米立方体作为载体,负载尺寸均匀的不同粒径的Pt纳米颗粒,探究了Pt纳米颗粒在丙烷催化燃烧过程中的尺寸效应。结果表明Pt/CeO2(100)上丙烷催化燃烧的尺寸效应归因于不同Pt纳米颗粒的尺寸与CeO2(100)面相互作用所引起的Pt物种电子性质和几何结构的变化。


图片


图片

背景介绍

图片

挥发性有机化合物(VOCs)是大气污染的主要贡献者,轻质烷烃(如丙烷)因其饱和结构而难以被吸附和活化,是最具有代表性的VOCs之一。目前,负载型贵金属催化剂由于其高活性和稳定性的特点已经在VOCs净化方面被广泛研究。贵金属纳米颗粒(NPs)的尺寸是催化剂设计和制备中最重要的参数之一。因此,深入了解负载型贵金属催化剂的尺寸-活性关系对于开发高活性催化剂具有重要意义。

目前,关于惰性载体(如Al2O3)负载贵金属Pt催化剂上,Pt NPs的尺寸与丙烷催化燃烧活性之间的关系已有研究报道。然而,载体的种类和性质对Pt NPs的催化性能有至关重要的影响,特别是具有优异氧化还原性能的载体,如CeO2。这是由于随着金属颗粒尺寸减小到纳米级,由于受载体的影响,除了贵金属的分散状态和几何结构发生改变之外,其电子性质也会随着颗粒尺寸的变化而动态改变。但是由于CeO2表面复杂的特性,到目前为止,Pt物种的几何结构和电子性质对Pt/CeO2催化剂上丙烷催化燃烧活性的影响仍不明确。


图片

本文亮点

图片

1. 通过在纳米CeO2立方体上负载粒径均匀的Pt纳米颗粒,系统性探究了Pt颗粒的电子性质和几何结构的变化对Pt/CeO2(100)催化剂上丙烷催化燃烧性能的影响。

2. 丙烷催化燃烧的表观活性和反应速率与CeO2上所负载的Pt NPs的尺寸呈火山型关系,而TOF值随着Pt NPs尺寸的增加逐渐增加。

3. 结合理论计算和实验表征得出CeO2上负载的不同尺寸的Pt NPs的丙烷催化燃烧的尺寸依赖性受Pt电子性质和几何结构的影响,这合理的解释了反应速率和TOF值随Pt NPs尺寸的变化趋势。


图片

图文解析

图片

本文采用乙二醇还原法制备了1.3 ~ 7.0 nm的Pt纳米颗粒(Pt NPs),并将其负载在具有暴露特定(100)面的CeO2立方体上用于丙烷催化燃烧反应。TEM结果表明,我们成功制备出了不同尺寸的Pt NPs,并且在CeO2负载Pt纳米颗粒的尺寸与负载前相似,未发生明显变化,因而可进一步研究Pt/CeO2(100)催化剂上Pt的粒径与反应性能之间的关联(图1)


图片

Figure 1. (a−j) Representative TEM images of Pt NPs in colloidal solution (a−e) and after deposition onto the CeO2(100) support (f−j). (k−o) Particle size distribution histograms of Pt NPs in colloidal solution and after deposition onto the CeO2 support.


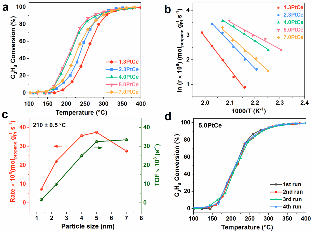
丙烷催化燃烧的性能测试表明,催化剂的活性与Pt NPs的尺寸大小密切相关且呈火山型,当尺寸达到5.0 nm时,丙烷催化燃烧的效率最高。丙烷催化燃烧的反应速率也与CeO2上所负载的Pt NPs的尺寸呈火山型关系,而TOF值随着Pt NPs尺寸的增加逐渐增加图2。此外,与小尺寸的Pt NPs相比,较大尺寸的Pt NPs具有更优异的长期稳定性和耐水能力。


图片

Figure 2. Catalytic activity test of C3H8 oxidation: (a) conversion of propane as a function of temperature, (b) Arrhenius plots, and (c) the relationship of reaction rate and TOF of propane oxidation on CeO2(100) supported Pt NPs with different sizes; (d) Recycle stability of 5.0PtCe sample. Reaction condition: 0.2% C3H8 + 2% O2, Ar balance; WHSV: 30,000 mL g−1 h−1.


XPS的结果表明,随着Pt NPs尺寸的增加,Pt和CeO2之间的相互作用发生了变化,较小尺寸Pt NPs主要呈偏氧化的状态(Ptδ+)存在;而当Pt纳米颗粒的尺寸超过4 nm时,Pt主要呈金属态(Pt0)。并且在反应后,小颗粒的Pt被进一步氧化成更高价态的Pt物种。然而,对于尺寸较大的Pt NPs(> 4 nm),反应前后始终主要以金属Pt的状态存在(图3)。


图片

Figure 3. (a,b) XPS spectra of (a) xPtCe and (b) xPtCe-used catalysts. (c,d) H2-TPR profiles at (c) low- and (d) high-temperature regions of xPtCe catalysts.


XAS结果进一步证明了小尺寸的Pt NPs在反应过程容易被氧化,而较大的Pt NPs在反应后能保持其金属状态(图4)。


图片

Figure 4. XANES spectra (a) and FT-EXAFS spectra (b) of the Pt L3-edge of 1.3PtCe-used and 5.0PtCe-used catalysts.


CO-DRIFTS谱图结果表明,吸附在配位饱和的Pt位点(2093-2097 cm-1)上的CO的比例相对于吸附在配位不饱和Pt位点(2074 cm-1)的CO的比例逐渐增加,说明饱和配位的Pt位点比例随着Pt纳米颗粒尺寸的增加而增加,这与TOF的结果相符(图5)。值得注意的是,从AC-TEM图上可以看到所有Pt NPs,无论其大小如何,在CeO2(100)界面处都表现出明显的原子重构,从而被有效地捕获并附着在CeO2(100)表面。有趣的是,小的Pt NPs呈现出四棱台结构,使其与CeO2(100)的界面最大。相反,较大的Pt NPs虽然与CeO2(100)载体有相互作用,但是由于Pt NPs的尺寸较大,其远离载体的区域仍然保持着截角的八面体结构(图5)。这些结果表明,较小的Pt NPs更容易有效地与CeO2(100)产生相互作用,从而失去其金属特性。相比之下,较大的Pt NPs即使与CeO2(100)表面结合,由于颗粒较大,也可以在不接触CeO2的部分保持金属结构。


图片

Figure 5. (a,b) In situ DRIFT spectra of CO adsorbed at the CO saturated coverage on the (a) xPtCe and (b) xPtCe-used catalysts. (c,d) Representative AC-TEM images of (c) 2.3PtCe-used and (d) 5.0PtCe-used.


随后,根据AC-TEM的结果,以截角八面体为模型,计算了金属Pt NPs的不饱和配位位点,饱和配位位点和TOF值与Pt颗粒尺寸之间的关系,进一步证明了当Pt处于金属态时饱和配位位点是丙烷催化燃烧的活性位点。(详见原文)

此外,DFT计算结果表明,Pt NPs的电子可以在界面处从Pt向CeO2(100)转移,产生一定的氧化态,且小颗粒的Pt更容易受到影响,因而氧化程度更明显。与界面处的Pt相比,与CeO2(100)面不接触的金属态Pt更有利于丙烷的吸附和C-H键的解离(图6)。


图片

Figure 6. Optimized structures of (a) Pt5/CeO2(100), (b) Pt9/ CeO2(100), and (c) Pt13/CeO2(100) composites (top and side views), as well as (d) the corresponding C−H dissociation energies of C3H8 over various sites on the top surface (solid symbols) and at the interface (hollow symbols). The average dissociation energy in each case is indicated by a brown line. Ivory, red, and cyan balls represent Ce, O, and Pt atoms, respectively.


图片

心得与展望

图片

本文特别设计了使用主要暴露(100)表面的CeO2纳米立方体作为载体,同时可控合成粒径均匀的Pt纳米颗粒,这样可以控制均一的载体暴露晶面以及负载金属的尺寸、从而排除其它因素的影响、系统性研究不同尺寸的Pt纳米颗粒与CeO2(100)之间的作用及其在丙烷催化燃烧中的尺寸效应。此项工作不仅更深入的理解了Pt/CeO2催化剂在丙烷燃烧中的粒径效应,也为其它体系的尺寸效应研究提供了更多思路。


图片

Figure 7. Supplementary Cover image.


相关成果近期以“Revealing the Size Effect of Ceria Nanocube-Supported Platinum Nanoparticles in Complete Propane Oxidation”为题发表于ACS Catalysis,并被选为内页封面论文(图7)。该论文以华东理工大学为唯一通讯单位。华东理工大学化学与分子工程学院葛沙沙博士和硕士研究生樊文璞为该论文的共同第一作者,博士后唐璇和郭耘教授为共同通讯作者。该工作还得到了绿色化工与工业催化全国重点实验室、费林加诺贝尔奖科学家联合研究中心、国家重点研发计划、国家自然科学基金、中国博士后科学基金等项目的支持。